板式換熱器的參數是設計、選型和運行管理的重要依據,以下是對各項參數的詳細解釋,幫助你更好地理解它們的含義和作用:1.換熱面積(HeatTransferArea)定義:換熱器中用于熱量傳遞的有效面積。單位:平方米(m2)。作用:換熱面積越大,換熱能力越強。換熱面積的大小直接影響換熱器的效率和尺寸。計算公式:其中:(A)是換
板式換熱器的參數是設計、選型和運行管理的重要依據,以下是對各項參數的詳細解釋,幫助你更好地理解它們的含義和作用:
1.換熱面積(HeatTransferArea)
定義:換熱器中用于熱量傳遞的有效面積。
單位:平方米(m2)。
作用:換熱面積越大,換熱能力越強。換熱面積的大小直接影響換熱器的效率和尺寸。
計算公式:

其中:
(A)是換熱面積。
(Q)是換熱量(W)。
(K)是傳熱系數(W/(m2·K))。
(DeltaT_{lm})是對數平均溫差(K)。
2.換熱量(HeatDuty)
定義:換熱器在單位時間內傳遞的熱量。
單位:瓦特(W)或千瓦(kW)。
作用:換熱量是換熱器設計的核心參數,決定了換熱器的大小和配置。
計算公式:
![]()
其中:
(Q)是換熱量。
(dot{m})是流體的質量流量(kg/s)。
(c_p)是流體的比熱容(J/(kg·K))。
(DeltaT)是流體的溫差(K)。
3.傳熱系數(HeatTransferCoefficient)
定義:表示單位面積、單位溫差下的傳熱量。
單位:瓦特每平方米·開爾文(W/(m2·K))。
作用:傳熱系數越高,換熱效率越高。它反映了換熱器的傳熱性能。
影響因素:
板片材質(如不銹鋼、鈦合金等)。
流體的流速和流動狀態(層流或湍流)。
板片的表面特性(如波紋形狀)。
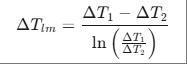
4.對數平均溫差
定義:用于描述兩種流體在換熱器中的平均溫差。
單位:開爾文(K)。
作用:LMTD是計算換熱面積的重要參數,反映了換熱器的熱傳遞能力。
計算公式:

其中:
(DeltaT_1)是熱流體與冷流體在入口處的溫差。
(DeltaT_2)是熱流體與冷流體在出口處的溫差。
5.流體流量(FluidFlowRate)
定義:單位時間內通過換熱器的流體體積或質量。
單位:體積流量(m3/h)或質量流量(kg/h)。
作用:流體流量直接影響換熱器的換熱效率和壓力降。
計算公式:

其中:
(dot{V})是體積流量。
( ho)是流體的密度(kg/m3)。
6.壓力降(PressureDrop)
定義:流體通過換熱器時因阻力而產生的壓力降低。
單位:帕斯卡(Pa)或千帕(kPa)。
作用:壓力降是設計和運行中需要考慮的重要參數,過高的壓力降會增加泵的能耗。
計算公式:

其中:
(DeltaP)是壓力降。
(f)是摩擦因子。
(L)是流道長度。
(D)是流道直徑。
( ho)是流體的密度。
(v)是流體的流速。
7.板片數量(NumberofPlates)
定義:換熱器中用于換熱的板片數量。
單位:片。
作用:板片數量直接影響換熱面積和換熱能力。增加板片數量可以提高換熱面積,但也會增加壓力降和成本。
8.板片尺寸(PlateDimensions)
定義:板片的長度、寬度和厚度。
單位:毫米(mm)。
作用:板片尺寸影響換熱面積和流道特性,進而影響換熱效率和壓力降。
9.流體溫度(FluidTemperature)
定義:流體在換熱器入口和出口處的溫度。
單位:攝氏度(℃)或開爾文(K)。
作用:流體溫度是計算換熱量和對數平均溫差的關鍵參數。
10.流體類型(FluidType)
定義:流體的種類(如水、蒸汽、油等)。
作用:不同流體的物理性質(如比熱容、導熱系數、密度等)會影響換熱器的設計和性能。
11.工作壓力(WorkingPressure)
定義:換熱器在正常運行時所能承受的更大壓力。
單位:帕斯卡(Pa)或兆帕(MPa)。
作用:工作壓力是設計和選型時的重要參數,確保換熱器在安全壓力范圍內運行。
12.設計壓力(DesignPressure)
定義:換熱器設計時所能承受的更大壓力。
單位:帕斯卡(Pa)或兆帕(MPa)。
作用:設計壓力通常高于工作壓力,以確保設備在情況下仍能安全運行。
13.設計溫度(DesignTemperature)
定義:換熱器設計時所能承受的更高溫度。
單位:攝氏度(℃)或開爾文(K)。
作用:設計溫度確保換熱器在高溫條件下仍能安全運行。
14.污垢系數(FoulingFactor)
定義:考慮污垢對換熱器傳熱性能影響的修正系數。
單位:無量綱。
作用:污垢系數用于修正傳熱系數,考慮實際運行中污垢對換熱效率的影響。
15.流體流速(FluidVelocity)
定義:流體在換熱器流道中的速度。
單位:米/秒(m/s)。
作用:流體流速影響換熱效率和壓力降。較高的流速可以提高換熱效率,但也會增加壓力降。
16.流體粘度(FluidViscosity)
定義:流體的流動阻力特性。
單位:帕斯卡·秒(Pa·s)。
作用:流體粘度影響流體的流動狀態和傳熱性能。
17.流體密度(FluidDensity)
定義:單位體積流體的質量。
單位:千克/立方米(kg/m3)。
作用:流體密度影響流體的流動特性和換熱性能。
18.流體比熱容(FluidSpecificHeatCapacity)
定義:單位質量流體升高1攝氏度所需的熱量。
單位:焦耳/千克·攝氏度(J/(kg·℃))。
作用:比熱容影響流體的換熱能力和溫度變化。
19.流體導熱系數(FluidThermalConductivity)
定義:流體的導熱能力。
單位:瓦特/米·開爾文(W/(m·K))。
作用:導熱系數影響流體的傳熱性能。
20.流體流動狀態(FluidFlowRegime)
定義:流體在換熱器中的流動狀態,如層流或湍流。
作用:流動狀態影響換熱效率和壓力降。湍流狀態通常具有更高的換熱效率。